-
New Max Planck Research Group headed by Prof. Oliver Gutfleisch to study magnets as key materials for green energy
2020/10/22
New collaboration between TU Darmstadt and Max-Planck-Institut für Eisenforschung (MPIE)
-
Picture: Functional Materials
Picture: Functional MaterialsFunctional Materials for TU charity run
2020/10/21
Running individually – donating united
Funded by the Material Science Professors, also runners and walkers from Functional Materials ran to collect money for charity. The donations will go to students facing financial distress due to the coronavirus pandemic.
-
Mask Production
2020/10/21
Masken gegen Corona und für gute Laune
Wie kann man Infektionen am Arbeitsplatz vermeiden? Ganz einfach, die AHA+L Regeln einhalten.
-
Recently published
2020/10/12
Giant voltage-induced modification of magnetism in micron-scale ferromagnetic metals by hydrogen charging
Xinglong Ye, Harish K. Singh, Hongbin Zhang, Holger Geßwein, Mohammed Reda Chellali, Ralf Witte, Alan Molinari, Konstantin Skokov, Oliver Gutfleisch, Horst Hahn & Robert Kruk Nature Communications, 11 , 4849 (2020) https://doi.org/10.1038/s41467-020-18552-z
-
Recently published
2020/10/12
Nanocrystalline Sm-based 1:12 magnets
A.M. Schönhöbel, R. Madugundo, J.M. Barandiarán, G.C. Hadjipanayis, D. Palanisamy, T. Schwarz, B. Gault, D. Raabe, K. Skokov, O. Gutfleisch, J. Fischbacher, T. Schrefl Acta Materialia 200 , 652 (2020) https://doi.org/10.1016/j.actamat.2020.08.075
-
Recently published
2020/10/12
Editor´s choice: L10 rare-earth-free permanent magnets: The effects of twinning versus dislocations in Mn-Al magnets
Yuxiao Jia, Yuye Wu, Shuang Zhao, Shulan Zuo, Konstantin P. Skokov, Oliver Gutfleisch, Chengbao Jiang, and Huibin Xu Phys. Rev. Materials 4, 094402 (2020) DOI: https://doi.org/10.1103/PhysRevMaterials.4.094402
-
Picture: Imants Dirba
Picture: Imants DirbaRecently Published
2020/10/08
Synthesis and magnetic properties of bulk α″-Fe16N2/SrAl2Fe10O19 composite magnets
I. Dirba, M. Mohammadi, F. Rhein, Qihua Gong, Min Yi, B.-X. Xu, M. Krispin, O. Gutfleisch Journal of Magnetism and Magnetic Materials 518 (2021) 167414 https://doi.org/10.1016/j.jmmm.2020.167414
-
Recently Published
2020/09/18
Production of Fe nanoparticles from γ-Fe2O3 by high-pressure hydrogen reduction
I. Dirba, C.A. Schwöbel, A. Zintler, P. Komissinskiy, L. Molina-Luna, O. Gutfleisch Nanoscale Adv. (2020). doi:10.1039/D0NA00635A. This work is a result of our fruitful, synergistic collaborations within the Materials Science department, namely, with researchers from the Advanced Thin Film Technology and Advanced Electron Microscopy groups. We have demonstrated that by increasing the hydrogen pressure up to 530 bar, it is possible to lower the temperature necessary for complete reduction of γ-Fe 2 O 3 nanoparticles to α-Fe from 390 °C down to 210 °C. This significant improvement in reduction temperature was shown to be beneficial for the final particle morphology. Coalescence and sintering of the particles accompanied by surface area loss which occurs at elevated temperatures can be suppressed when reduction is performed at 210 °C. Interestingly, coercivity even exceeds the theoretical anisotropy field for these particles. TEM investigations reveal that the Fe nanoparticles are passivated with a Fe 2 O 3 layer resulting in a core–shell structure. These findings are relevant for applications such as catalysis and exchange-coupled nanocomposites, where fine iron nanoparticles with high surface area are required. The presented method can be extended to other metal-oxide systems.
-
Recently published
2020/09/18
Determination of the crystal field parameters in SmFe11Ti
L. V. B. Diop, M. D. Kuz’min, Y. Skourski, K. P. Skokov, I. A. Radulov, O. Gutfleisch Physical Review B 102, 064423 (2020) DOI:10.1103/PhysRevB.102.064423 SmFe 11 Ti is an interesting material not only from an application point of view as a permanent-magnet material, but also from a fundamental perspective as a model system for studying magnetic anisotropy and crystal fields. However, the few reports on the crystal field parameters of SmFe 11 Ti are all based on fitting a single magnetization curve. Here, the magnetization of SmFe 11 Ti single crystals has been measured along the principal crystallographic directions in steady (14 T) and pulsed (43 T) magnetic fields. The fourfold symmetry axis [001] is an easy magnetization direction. The magnetization curves measured in directions perpendicular to [001] are remarkable in two ways: (i) They do not depend on orientation of H within the basal plane; (ii) at low temperature they are S shaped, with an inflection point at about 0.6 times saturation magnetization. These two facts enable us to conclude that three out of five crystal field parameters of SmFe 11 Ti are negligibly small; only A02 and A06 are essentially nonzero. A comparison with an isomorphous compound DyFe 11 Ti reveals a dramatic disparity of their crystal fields, especially as regardsA 4 4 , nearly zero in SmFe 11 Ti but outstandingly large in DyFe 11 Ti.
-
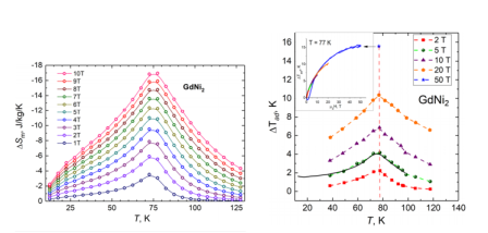
Recently Published
2020/08/26
“Greener Society”: Magnetocaloric effect in GdNi2 for cryogenic gas liquefaction studied in magnetic fields up to 50 T