Materials in Radiation Fields

In a number of applications, such as in nuclear facilities, particle accelerators and in space, materials are exposed to energetic ionizing radiation. The irradiation may lead to a degradation of the material properties. Polymers are particularly sensitive in this regard. In a collaboration with GSI , polyimide and polyepoxide, which are components of superconducting beam guiding magnets, are irradiated with relativistic heavy ions and characterized for their properties, such as network degradation and electrical conductivity. Another material is polycrystalline graphite, which is being used as the target wheel and as the beam dump.

Materials in Radiation Fields

In a number of applications, such as in nuclear facilities, particle accelerators and in space, materials are exposed to energetic ionizing radiation. The irradiation may lead to a degradation of the material properties.

Polymers are particularly sensitive in this regard. In a collaboration with GSI , polyimide and polyepoxide, which are components of superconducting beam guiding magnets, are irradiated with relativistic heavy ions and characterized for their properties, such as network degradation and electrical conductivity.

Another material is polycrystalline graphite, which is being used as the target wheel and as the beam dump.

Studies on inorganic scintillators for high-current diagnosis of heavy ion irradiation

Scintillation screens are used at particle accelerator facilities for beam diagnostics in order to obtain a two-dimensional beam profile and thus to determine the position, shape and intensity distribution of the ion beam. For this purpose, the phosphor screen is inserted into the ion beam, excited by it to scintillation, and the emitted light is registered by a suitable detector (e.g. a CCD camera). In addition to the direct imaging of the beam, scintillation screens are often used in other diagnostic tools, such as in the so-called pepper-pot device for determining the brightness of the beam or as an imaging element behind multi-channel plates (MCP).

In general, the scintillation screen will be exposed directly to the primary ion beam, i.e. the used materials have to be applicable for extreme conditions such as high beam intensities and energies. The resulting radiation damage leads to the rapid degradation of the material and can distort the imaging properties of the scintillation screens.

Thus, the scintillation properties of ceramic screens used for high-current ion beam imaging are studied. The screens are tested under heavy-ion irradiation with varying beam parameters (projectile ion, energy, energy loss dE/dx, particle fluence, target temperature). Various inorganic materials were investigated in two sub-projects:

Low-energy: The experiments were performed at two accelerator facilities, the UNILAC at GSI Helmholtz Centre for Heavy Ion Research GmbH in Darmstadt and at 6 MV Tandetron accelerator of Helmholtz Centre Dresden-Rossendorf (HZDR) in Dresden with particle energies ranging from 0.5 to 11.4 MeV/u.

High-energy: The irradiation experiments were done at the heavy ion synchrotron SIS18 at GSI Helmholtz Centre for Heavy Ion Research GmbH with energies of several hundred MeV/u.

Relative light output of α-Al2O3 under irradiation with 63Cu5+ ions of 0.5 MeV/u at room temperature, 573 K, 673 K and 773 K
Relative light output of α-Al2O3 under irradiation with 63Cu5+ ions of 0.5 MeV/u at room temperature, 573 K, 673 K and 773 K

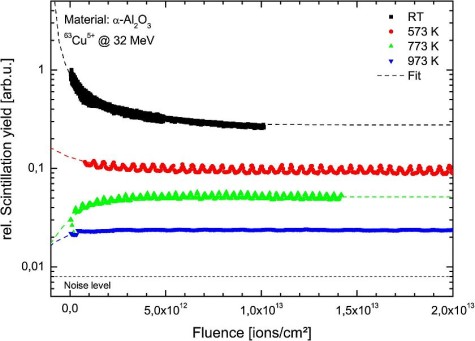
The experiments focus not only on conventionally used scintillators (for example, P43, P46, Al2O3:Cr), but also on radiation resistant ceramics (for example, Al2O3, ZrO2). The imaging properties of the materials (light yield, beam width and higher statistical moments) were compared. The image of different ion beam pulses was taken with a digital CCD camera and evaluated individually. In the low-energy range, in general a material degradation can be observed resulting in a decreasing light yield as a function of the irradiation time. This is attributed to the massive generation of radiation damage (vacancies, interstitials etc.). Moreover, the received beam width depends on the scintillation material.

In addition, both, light yield and beam width depend on the screen temperature, which increases by the ion irradiation. With increasing temperature, a decrease in light yield is recorded caused by thermal quenching. However, it could be shown that by a specific thermal treatment of the materials, the further degradation of the light yield can be decelerated or even stopped (Figure 1). This is attributed to diffusion driven annealing processes of the generated radiation defects. Thus, the annealing of the materials is an effective tool to extend the lifetime of the screens.

Light output of all investigated target materials under irradiation with fast extracted Uranium beam @ 292 MeV/u as a function of irradiating particles per pulse.
Light output of all investigated target materials under irradiation with fast extracted Uranium beam @ 292 MeV/u as a function of irradiating particles per pulse.

For the irradiation experiments performed in the high-energy range the degradation of the screens outlined above does not occur. Thus beam diagnostics can resort to conventionally used scintillators. The most efficient conversion of energy into light was measured with a phosphor screen P43. The highest light output in total was measured by a cerium-doped YAG crystal. However, this crystal showed the greatest deviations in the imaging of the beam profile (Figure 2). Both effects are due to the screen thickness of about 1 mm. A decrease in light output as a function of irradiation time was barely recordable if at all. The reason for this behavior is the less intensive production of radiation damage, since only a fraction of the projectile energy is deposited directly in the material (Bragg peak). However, a drop in light output can be detected with increasing atomic number of the projectile. This may possibly be explained by the non-proportionality of scintillators.

Ion beam mixing in uranium nitride thin films studied by Rutherford Backscattering Spectroscopy
N.-T.H. Kim-Ngan, A.G. Balogh, L. Havela, T. Gouder
Nuclear Instruments and Methods in Physics Research Section B: Beam Interactions with Materials and Atoms 268, 1875-1879, 2010
DOI: 10.1016/j.nimb.2010.02.015
Scintillation Screen Investigations for High-Current Ion Beams
E. Gütlich, P. Forck, W. Ensinger, B. Walasek-Hohne
IEEE Transactions On Nuclear Science 57, 1414-1419, 2010
DOI: 10.1109/TNS.2009.2035807
Light Yield, Imaging Properties and Spectral Response of Inorganic Scintillators Under Intense Ion Irradiation
E. Gütlich, P. Forck, W. Ensinger, B. Walasek-Höhne
Proceedings of Beam Instrumentation Workshop 2010 (BIW’10), Jefferson Lab, Santa Fe, USA, p. 151-155.
PDF on CERN server (opens in new tab)
Outgassing and degradation of polyimide induced by swift heavy ion irradiation at cryogenic temperature
D. Severin, E. Balanzat, W. Ensinger, C. Trautmann
Journal of Applied Physics 108, 024901, 2010
DOI: 10.1063/1.3457846
Ion Irradiation Studies of Soft Magnetic Metallic Glasses
M. Pavlovič, M. Miglierini, E. Mustafin, T. Seidl, W. Ensinger, I. Strašík, M. Šoka
Acta Physica Polonica A 118, 754-755, 2010
An apparatus for in situ spectroscopy of radiation damage of polymers by bombardment with high-energy heavy ions
O. Baake, T. Seidl, U.H. Hossain, A.O. Delgado, M. Bender, D. Severin, W. Ensinger
Review of Scientific Instruments 82, 045103, 2011
DOI: 10.1063/1.3571301
Radiation Hardness of Insulating Components for the New Heavy-ion Accelerator Facility
T. Seidl, W. Ensinger, E. Floch, E. Mustafin, A.B. Plotnikov, D. Severin, C. Trautmann, A. Golubev, A. Smolyakov, R. Lopez, D. Tommasini
In: A. Adelmann, J. Chrin, M. Marx, V.R.W. Schaa, M. Seidel (Eds.), Proceedings of the 46th ICFA Advanced Beam Dynamics Workshop on High-Intensity and High-Brightness Hadron Beams, Paul Scherrer Institut, Villigen, 2011, pp. 667-670
PDF on CERN server (opens in new tab)
Quantitative Scintillation Screen Studies at GSI-LINAC and Related Model Calculations
E. Gütlich, P. Forck, W. Ensinger, B. Walasek-Höhne
Proceedings of European Workshop on Beam Diagnostics and Instrumentation for Particle Accelerators 2011 (DIPAC’11), Desy, Hamburg, p. 164-166.
abstract on DESY server
In-situ investigation of polyvinyl formal irradiated with GeV Au ions
T. Seidl, O. Baake, U.H. Hossain, M. Bender, D. Severin, C. Trautmann, W. Ensinger
Nuclear Instruments and Methods in Physics Research Section B: Beam Interactions with Materials and Atoms 272, 400-404, 2012
DOI: 10.1016/j.nimb.2011.01.110
Chromium Nitride Films Formed by Ion Beam Assisted Deposition at Low Nitrogen Ion Energies in Comparison to High Energies
W. Ensinger, S. Flege, M. Kiuchi, K. Honjo
Nuclear Instruments and Methods in Physics Research, Section B: Beam Interactions with Materials and Atoms 272, 437-440, 2012
DOI: 10.1016/j.nimb.2011.01.118
Platinum implantation into tantalum for protection against hydrogen embrittlement during corrosion
W. Ensinger, S. Flege, K. Baba
Nuclear Instruments and Methods in Physics Research Section B: Beam Interactions with Materials and Atoms 272, 441-445, 2012
DOI: 10.1016/j.nimb.2011.01.119
Irradiation induced defect formation and phase transition in nanostructured ZrO2
A.G. Balogh
Nuclear Instruments and Methods in Physics Research Section B: Beam Interactions with Materials and Atoms 282, 48-58, 2012
DOI: 10.1016/j.nimb.2011.08.063
Depth profiling of residual activity of 237U fragments as a range verification technique for 238U primary ion beam
I. Strašík, V. Chetvertkova, E. Mustafin, M. Pavlovič, A. Belousov
Physical Review Special Topics – Accelerators and Beams 15, 071001, 2012
DOI: 10.1103/PhysRevSTAB.15.071001
Influence of swift heavy ion beams and protons on the dielectric strength of polyimide
T. Seidl, A. Plotnikov, E. Mustafin, R. Lopez, D. Severin, E. Floch, C. Trautmann, A. Golubev, A. Smolyakov, D. Tommasini, W. Ensinger
Polymer Degradation and Stability 97, 2396-2402, 2012
DOI: 10.1016/j.polymdegradstab.2012.07.025
Scintillation Screen Studies for High-Dose Ion Beam Applications
E. Gütlich, P. Forck, W. Ensinger, B. Walasek-Höhne
IEEE Transactions on Nuclear Science 59, 2354-2359, 2012
DOI: 10.1109/TNS.2012.2191797
Imaging Properties of Scintillation Screens for High Energetic Ion Beams
R. Krishnakumar, F. Becker, W. Ensinger, P. Forck, R. Haseitl, B. Walasek-Höhne
IEEE Transactions on Nuclear Science 59, 2301-2306, 2012
DOI: 10.1109/TNS.2012.2197417
Correlations in Nuclear Interactions between ECM/u and Unexplained Experimental Observables
W. Westmeier, R. Brandt, R. Hashemi-Nezhad, R. Odoj, W. Ensinger, M. Zamani-Valasiadou, A Sosnin
World Journal of Nuclear Science and Technology 2, 125-132, 2012
DOI: 10.4236/wjnst.2012.24018
Short and long term ionizing radiation effects on charge-coupled devices in radiation environment of high-intensity heavy ion accelerators
A Belousov, E Mustafin, W Ensinger
Journal of Instrumentation 7, C11002, 2012
DOI: 10.1088/1748-0221/7/11/C11002
Ion beam based composition and texture control of titanium nitride
W. Ensinger, E. Marin, L.Guzman
Vacuum 89, 229-232, 2013
DOI: 10.1016/j.vacuum.2012.05.021
Influence of xenon ion irradiation on magnetic susceptibility of soft-magnetic alloys
M. Pavlovič, M. Miglierini, E. Mustafin, W. Ensinger, A. Šagátová, T. Seidl, M. Šoka
Proceedings of the 19th International conference on APPLIED PHYSICS OF CONDENSED MATTER (eds. J. Vajda, I. Jamnický), 2013, p. 78-81
Combined in-situ infrared and mass spectrometric analysis of high-energy heavy ion induced degradation of polyvinyl polymers
U.H. Hossain, T. Seidl, W. Ensinger
Polymer Chemistry 5, 1001-1012, 2014
DOI: 10.1039/C3PY01062G
CCD based beam loss monitor for ion accelerators
A. Belousov, E. Mustafin, W. Ensinger
Nuclear Instruments and Methods in Physics Research Section A: Accelerators, Spectrometers, Detectors and Associated Equipment 743, 86-89, 2014
DOI: 10.1016/j.nima.2014.01.003
On-line and post irradiation analysis of swift heavy ion induced modification of PMMA (polymethyl-methacrylate)
U.H. Hossain, V. Limaa, O. Baake, D. Severin, M. Bender, W. Ensinger
Nuclear Instruments and Methods in Physics Research Section B: Beam Interactions with Materials and Atoms 326, 135-139, 2014
DOI: 10.1016/j.nimb.2013.10.074
Influence of High Energy Heavy Ions on Magnetic Susceptibility of Soft Magnetic Metallic Glasses
M. Pavlovič, M. Miglierini, E. Mustafin, T. Seidl, M. Šoka, W. Ensinger
Acta Physica Polonica A 126, 54-55, 2014
DOI: 10.12693/APhysPolA.126.54
A Comparative Study on Degradation Characteristics of Fluoropolymers Irradiated by High Energy Heavy Ions
U.H. Hossain, F. Muench, W. Ensinger
RSC Advances 4, 50171-50179, 2014
DOI: 10.1039/C4RA04635H
Radiation damage studies of soft magnetic metallic glasses irradiated with high-energy heavy ions
M. Pavlovic, M. Miglierini, E. Mustafin, W. Ensinger, A. Šagátová, M. Šoka
Radiation Effects and Defects in Solids 170, 1-6, 2015
DOI: 10.1080/10420150.2014.993635
Decomposition and CO2 evolution of an aliphatic polymer under bombardment with high energy heavy ions
U.H. Hossain, W. Ensinger
Polymer Degradation and Stability 119, 132-138, 2015
DOI: 10.1016/j.polymdegradstab.2015.05.006
High-temperature scintillation of alumina under 32 MeV 63Cu5+ heavy-ion irradiation
S. Lederer, S. Akhmadaliev, J. von Borany, E. Gütlich, A. Lieberwirth, J. Zimmermann, W. Ensinger
Nuclear Instruments and Methods in Physics Research B 359, 161-166, 2015
DOI: 10.1016/j.nimb.2015.07.131
Experimental simulation of radiation damage of polymers in space applications by cosmic-ray-type high energy heavy ions and the resulting changes in optical properties
U.H. Hossain, W. Ensinger
Nuclear Instruments and Methods in Physics Research B 365, Part A, 230-234, 2015
DOI: 10.1016/j.nimb.2015.06.007
Response from inorganic scintillation screens induced by high energetic ions
A. Lieberwirth, W. Ensinger, P. Forck, S. Lederer
Nuclear Instruments and Methods in Physics Research B 365, Part B, 533-539, 2015
DOI: 10.1016/j.nimb.2015.07.111
Thermal annealing behavior of α-Al2O3 scintillation screens
S. Lederer, S. Akhmadaliev, P. Forck, E. Gütlich, A. Lieberwirth, W. Ensinger
Nuclear Instruments and Methods in Physics Research B 365, Part B, 548-552, 2015
DOI: 10.1016/j.nimb.2015.08.024
Test of the Imaging Properties of Inorganic Scintillation Screens Using Fast and Slow Extracted Ion Beams
A. Lieberwirth, W. Ensinger, P. Forck, O. Kester, S. Lederer, T. Sieber, B. Walasek-Höhne
Proceedings of IBIC2016, Barcelona, Spain, p. 516-519
DOI: 10.18429/JACoW-IBIC2016-TUPG70
High surface stability of magnetite on bi-layer Fe3O4/Fe/MgO(0 0 1) films under 1 MeV Kr+ ion irradiation
N.-T. H. Kim-Ngan, M. Krupska, A.G. Balogh, P. Malinsky, A. Mackova
Advances in Natural Sciences: Nanoscience and Nanotechnology 8, 045005, 2017
DOI: 10.1088/2043-6254/aa84e2
Mass spectrometric comparison of swift heavy ion-induced and anaerobic thermal degradation of polymers
V. Lima, U.H. Hossain, T. Walbert, T. Seidl, W. Ensinger
Radiation Physics and Chemistry 144, 21-28, 2018
DOI: 10.1016/j.radphyschem.2017.10.024